Exams

There are two in-class exams scheduled for Friday February 27 and Friday April 16.  These times can be changed with 1-week's notice. This page will include useful information you will need to succeed on the exams in the class. The in-class exams will be open notes,  open books, NO calculators.

Final Exam (20 percent)
The final exam will be cumulative and CLOSED BOOK, LIMITED NOTES (1-sided sheet of formulas). Your sheet can not include worked out examples of problems. The Final Exam will consist of 10 problems drawn from the Quizzes and Examples/Exercises from the Worksheets. 

The Spring 2004 Final Exam is scheduled for Wednesday May 5 at 8:30am-11:30am.

Solutions to the Spring 2004 Final Exam

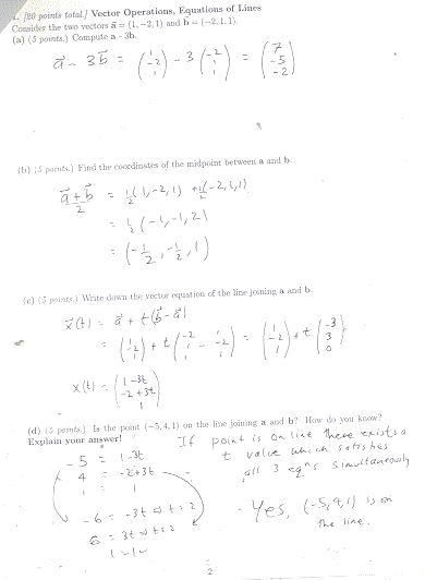
  1. Page 1

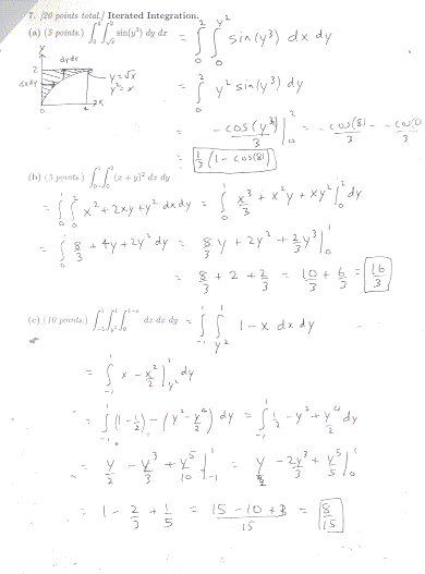
  2. Page 2

  3. Page 3

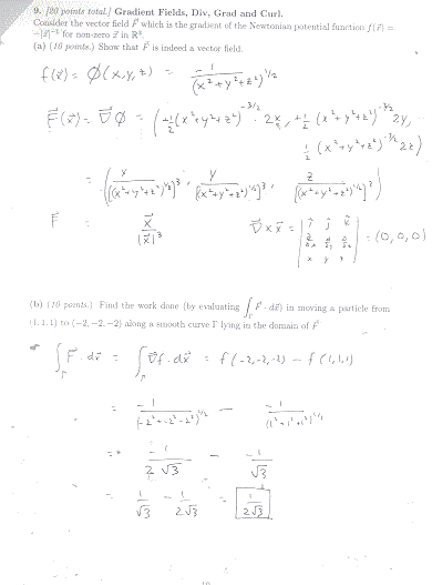
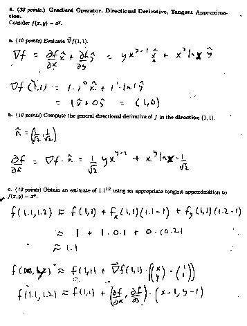
  4. Page 4

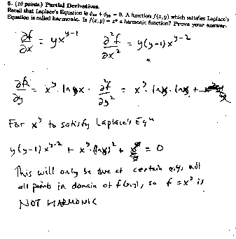
  5. Page 5

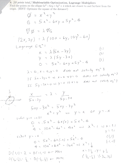
  6. Page 6

  7. Page 7

  8. Page 8

  9. Page 9

  10. Page 10

2003 Spring Final Exam

Exam 2
Here is a copy of the Spring 2003 Exam 2  and Spring 2003 Exam 3 that you can consider a practice exam. Here is a useful list of formulas you may want to print out and bring to the exam.

There will be a review session for Exam 2 on Thursday April 15 from 3-5pm in Fowler 316.

Solutions to the (Spring 2003 Exam 2) Practice Exam

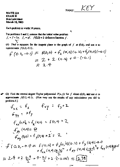
  1. Page 1

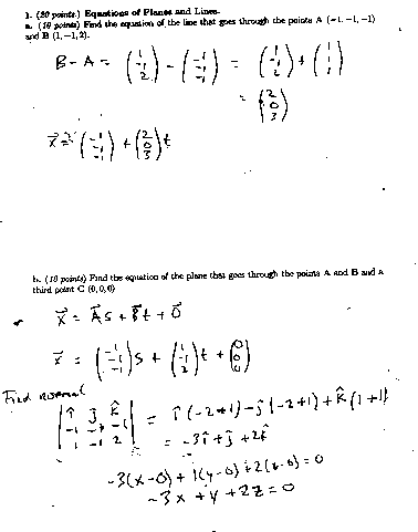
  2. Page 2

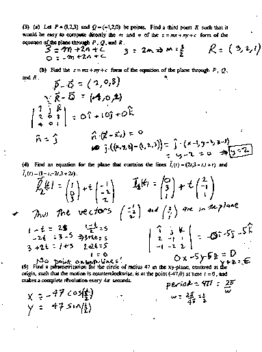
  3. Page 3

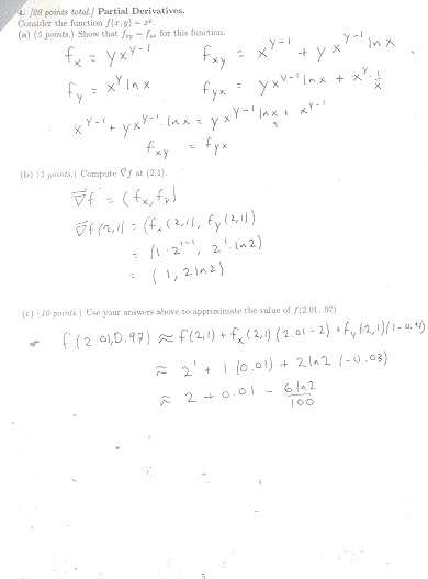
  4. Page 4

Solutions to the (Spring 2003 Exam 3) Practice Exam

  1. Page 1

  2. Page 2

  3. Page 3

  4. Page 4

Report on Exam 2

Solutions to Exam 2

  1. Page 1

  2. Page 2

  3. Page 3

  4. Page 4

  5. Page 5

  6. Extra Credit

 

Exam 1
Here is a copy of the Spring 2003 Exam 1 that you can consider a practice exam.

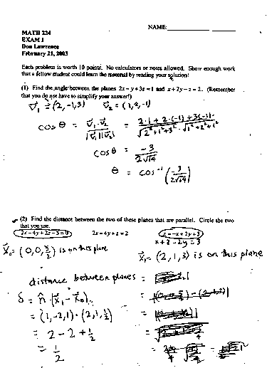
Solutions to the (Spring 2003 Feb 21) Practice Exam

  1. Page 1

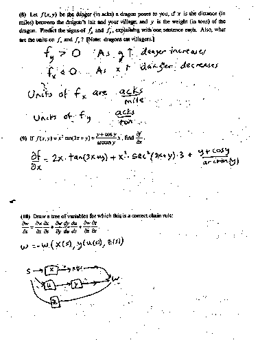
  2. Page 2

  3. Page 3

  4. Page 4

Exam 1 for Math 224 Spring 2004

Solutions to Exam 1 are

  1. Question 1

  2. Question 2

  3. Question 3

  4. Question 4

  5. Question 5

Report on Exam 1


Last Modified 09 May 2004