Multivariable Calculus - Mathematics 212 - Fall 2009

Homework Solutions

Home

Homework   Syllabus



HW #26 Solutions
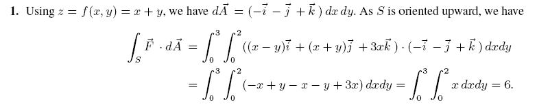
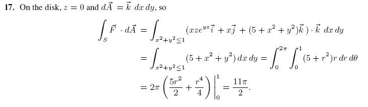
19.2: 1, 9, 13 17.