Multivariable Calculus - Mathematics 212 - Fall 2009

Homework Solutions

Home

Homework   Syllabus



HW 24# Solutions
18.4: 1, 3, 7, 12, 13, 15, 20-22, 26, 27b.


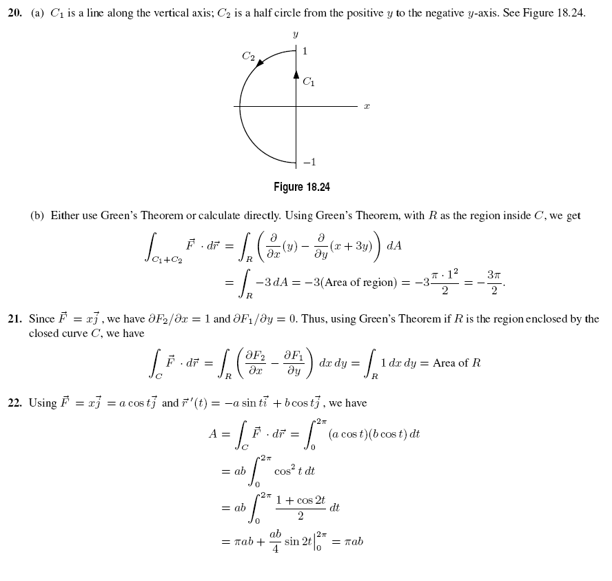
[currentCourses/includeFiles/lastUpdated.htm]