Multivariable Calculus - Mathematics 212 - Fall 2009

Homework Solutions

Home

Homework   Syllabus



HW #22 Solutions
18.1: 1, 2, 27.
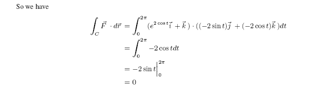
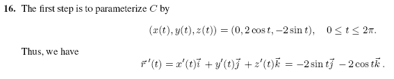
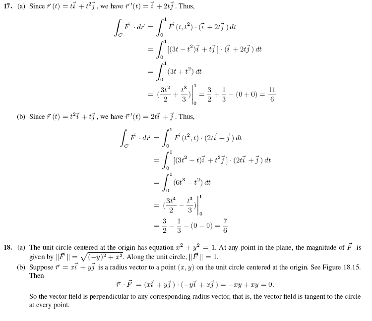
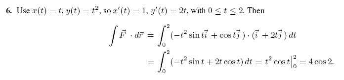
18.2: 1, 6, 10-12, 16-18.

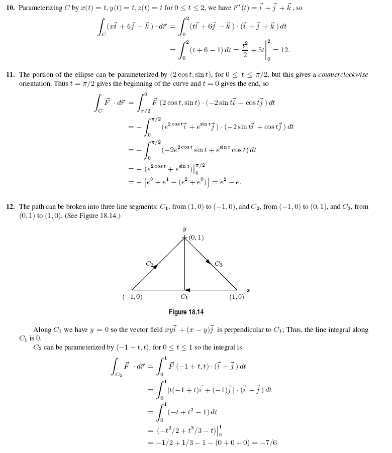
18.2: 1, 6, 10-12, 16-18.