Multivariable Calculus - Mathematics 212 - Fall 2009

Homework Solutions

Home

Homework   Syllabus



HW #20 Solutions
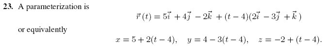
17.2: 15, 23, 30, 32-36.