Multivariable Calculus - Mathematics 212 - Fall 2009

Homework Solutions

Home

Homework   Syllabus



HW #15 Solutions
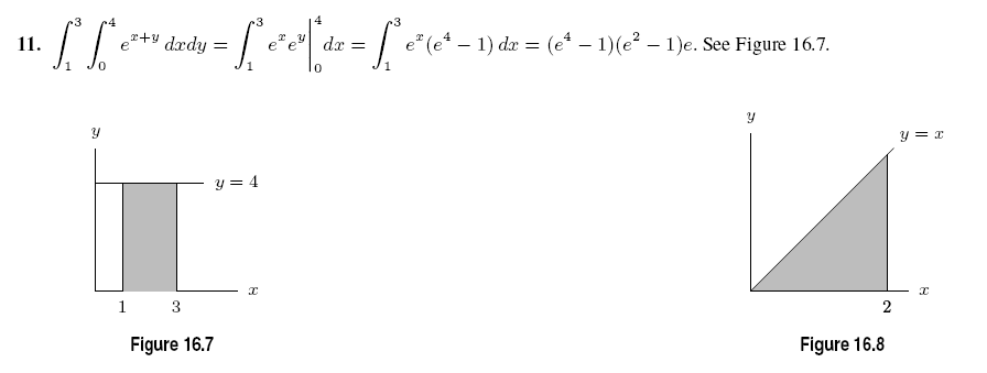
16.2: 3, 7, 11, 12, 24, 29, 30, 37, 44.