Multivariable Calculus - Mathematics 212 - Fall 2009

Homework Solutions

Home

Homework   Syllabus



HW #11 Solutions
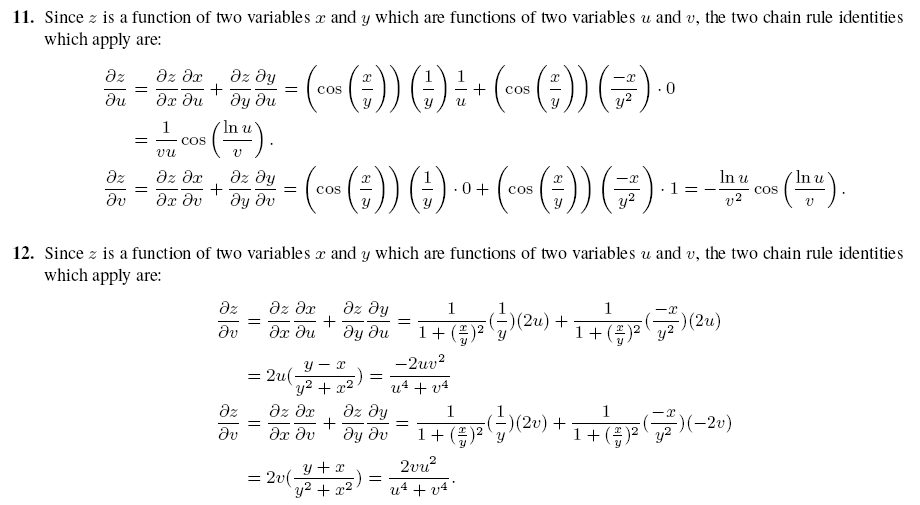
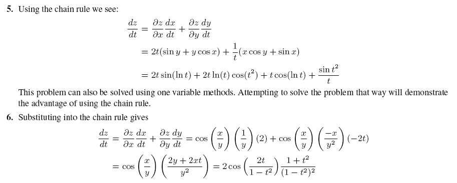
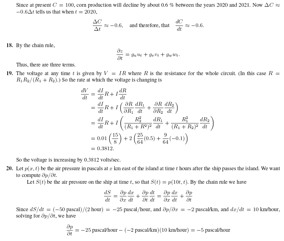
14.6:  5, 6, 11, 12, 15, 17-21, 26.

15.