Multivariable Calculus - Mathematics 212 - Fall 2009

Homework Solutions

Home

Homework   Syllabus



HW #10 Solutions
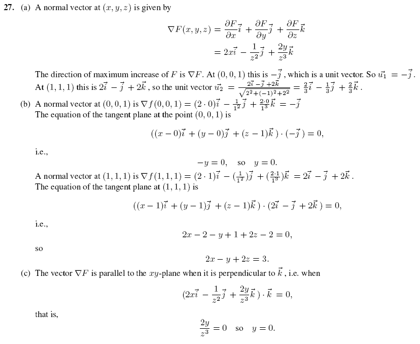
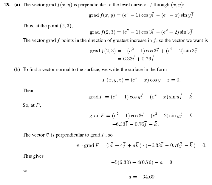
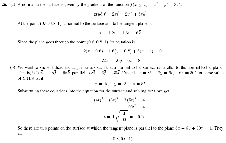
14.5: 24, 26, 27, 29-31, 36.