Multivariable Calculus - Mathematics 212 - Fall 2009

Homework Solutions

Home

Homework   Syllabus



HW #9 Solutions
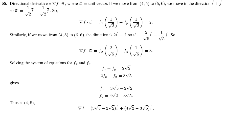
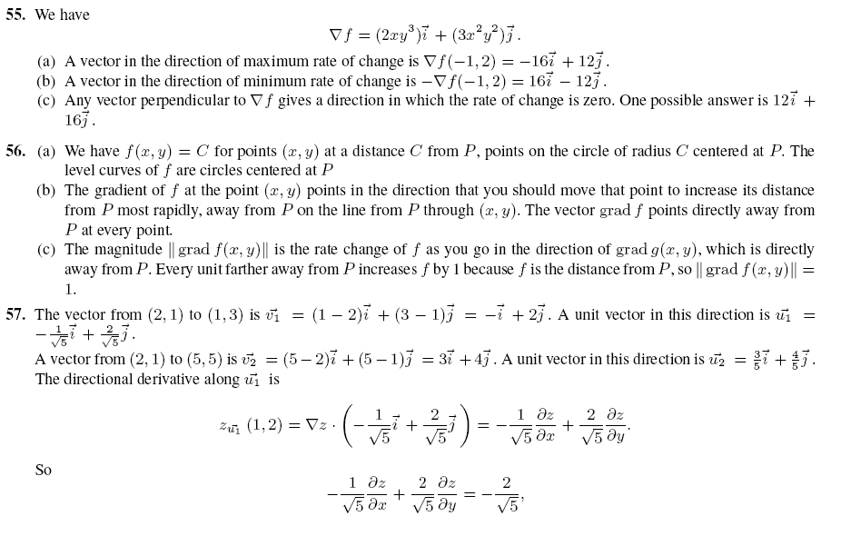
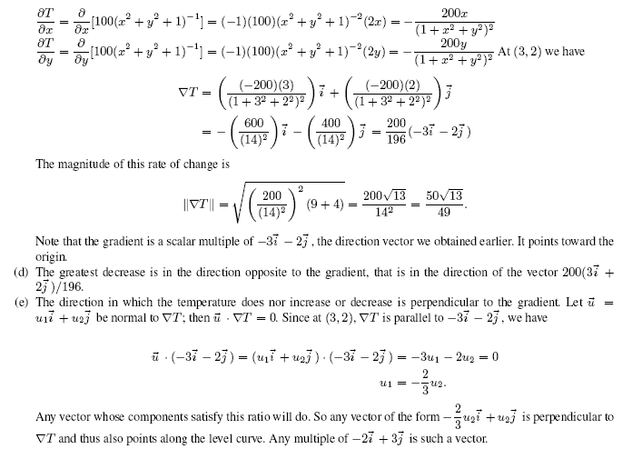
14.4: 49, 50, 53, 55-59, 66, 68.