Multivariable Calculus - Mathematics 212 - Fall 2009

Homework Solutions

Home

Homework   Syllabus



HW #8 Solutions
14.3: 2, 4, 13, 14, 21.
14.4: 1-5, 37, 48.

 

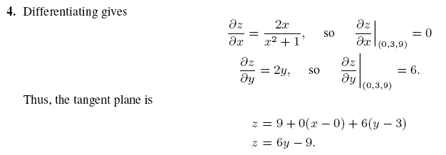
14.4: 1-5, 37, 48.