Multivariable Calculus - Mathematics 212 - Fall 2009

Homework Solutions

Home

Homework   Syllabus



HW #7 Solutions
14.1: 2, 3, 8ab, 17a, 18, 19, 20ab.
14.2: 41, 42.

 

 

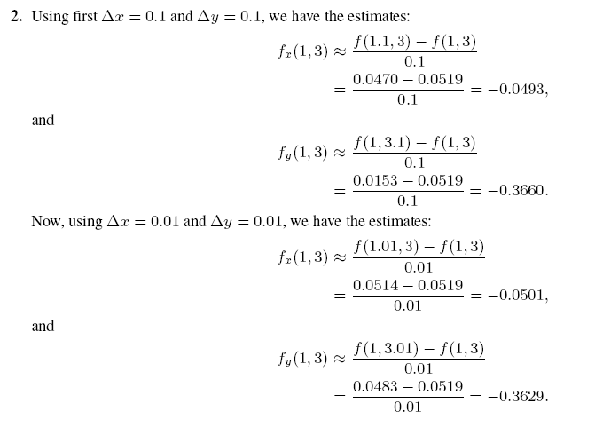
14.2: 41, 42.

--> Error in the above solution for #42: "0.15" should be "0.5".