Multivariable Calculus - Mathematics 212 - Fall 2009

Homework Solutions

Home

Homework   Syllabus



HW #4 Solutions
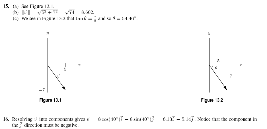
13.1: 3, 5, 11, 13, 15, 16, 21, 22, 29, 30de, 31.
Also do the following extra problem:
Prove for any vector v and scalar c, ||cv|| = |c| ||v||.