Multivariable Calculus - Mathematics 212 - Fall 2009

Homework Solutions

Home

Homework   Syllabus



HW #3 Solutions
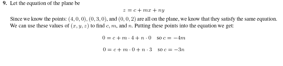
12.4: 1-5, 7, 9, 11, 17, 23, 25, 28.