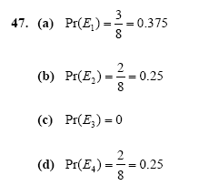
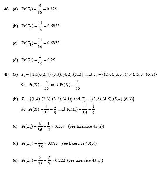
HW 20 Solutions

 

Ch 15: 1-4, 41-43, 47-49.